How Do You Apply For An Acrod Sticker . • application form (mobility) in pdf format. To apply for a permit download the application form which is available online or contact the acrod parking program on. Who is unable to walk and. the parking permit application form can be found online and completed application forms can be submitted via:. Download the current application form. An acrod parking permit may be issued to an applicant: To apply for an acrod parking permit, individuals should visit their state. The cost of the permit is funded by the government of western australia. applying for an acrod parking permit. To be eligible for an. acrod parking permits are free.
from museumqust.weebly.com
An acrod parking permit may be issued to an applicant: To apply for a permit download the application form which is available online or contact the acrod parking program on. • application form (mobility) in pdf format. acrod parking permits are free. applying for an acrod parking permit. the parking permit application form can be found online and completed application forms can be submitted via:. Download the current application form. The cost of the permit is funded by the government of western australia. To be eligible for an. Who is unable to walk and.
Apropriate ways to make a pass museumqust
How Do You Apply For An Acrod Sticker acrod parking permits are free. To be eligible for an. An acrod parking permit may be issued to an applicant: Download the current application form. To apply for a permit download the application form which is available online or contact the acrod parking program on. To apply for an acrod parking permit, individuals should visit their state. acrod parking permits are free. • application form (mobility) in pdf format. applying for an acrod parking permit. The cost of the permit is funded by the government of western australia. Who is unable to walk and. the parking permit application form can be found online and completed application forms can be submitted via:.
From www.inlinkz.com
How to Apply Vinyl Stickers Adventures of a DIY Mom How Do You Apply For An Acrod Sticker To be eligible for an. Who is unable to walk and. To apply for an acrod parking permit, individuals should visit their state. applying for an acrod parking permit. An acrod parking permit may be issued to an applicant: To apply for a permit download the application form which is available online or contact the acrod parking program on.. How Do You Apply For An Acrod Sticker.
From www.subiaco.wa.gov.au
Accessible parking City of Subiaco How Do You Apply For An Acrod Sticker The cost of the permit is funded by the government of western australia. Who is unable to walk and. An acrod parking permit may be issued to an applicant: Download the current application form. the parking permit application form can be found online and completed application forms can be submitted via:. To apply for an acrod parking permit, individuals. How Do You Apply For An Acrod Sticker.
From www.pdffiller.com
Fillable Online ACROD Parking Program application form. ACROD How Do You Apply For An Acrod Sticker the parking permit application form can be found online and completed application forms can be submitted via:. To apply for a permit download the application form which is available online or contact the acrod parking program on. To apply for an acrod parking permit, individuals should visit their state. To be eligible for an. The cost of the permit. How Do You Apply For An Acrod Sticker.
From www.reddit.com
How to apply this sticker? r/nurburgring How Do You Apply For An Acrod Sticker The cost of the permit is funded by the government of western australia. An acrod parking permit may be issued to an applicant: acrod parking permits are free. To apply for a permit download the application form which is available online or contact the acrod parking program on. • application form (mobility) in pdf format. To apply for an. How Do You Apply For An Acrod Sticker.
From www.youtube.com
How to Apply Large Self Adhesive Sticker that has been printed to How Do You Apply For An Acrod Sticker applying for an acrod parking permit. the parking permit application form can be found online and completed application forms can be submitted via:. To apply for a permit download the application form which is available online or contact the acrod parking program on. Who is unable to walk and. The cost of the permit is funded by the. How Do You Apply For An Acrod Sticker.
From www.etsy.com
How to Apply Decal Svg How to Apply Decal Card Svg How to Etsy Australia How Do You Apply For An Acrod Sticker the parking permit application form can be found online and completed application forms can be submitted via:. To apply for a permit download the application form which is available online or contact the acrod parking program on. An acrod parking permit may be issued to an applicant: applying for an acrod parking permit. acrod parking permits are. How Do You Apply For An Acrod Sticker.
From templates.rjuuc.edu.np
Handicap Parking Permit Template How Do You Apply For An Acrod Sticker applying for an acrod parking permit. the parking permit application form can be found online and completed application forms can be submitted via:. An acrod parking permit may be issued to an applicant: The cost of the permit is funded by the government of western australia. Who is unable to walk and. acrod parking permits are free.. How Do You Apply For An Acrod Sticker.
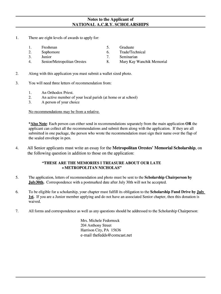
From www.pdffiller.com
Fillable Online acrod Notes to the Applicant of NATIONAL A acrod Fax How Do You Apply For An Acrod Sticker Who is unable to walk and. acrod parking permits are free. Download the current application form. To be eligible for an. An acrod parking permit may be issued to an applicant: • application form (mobility) in pdf format. applying for an acrod parking permit. the parking permit application form can be found online and completed application forms. How Do You Apply For An Acrod Sticker.
From www.pdffiller.com
ACROD Parking Permit application for people with mobility Doc How Do You Apply For An Acrod Sticker • application form (mobility) in pdf format. Download the current application form. To be eligible for an. Who is unable to walk and. the parking permit application form can be found online and completed application forms can be submitted via:. To apply for an acrod parking permit, individuals should visit their state. The cost of the permit is funded. How Do You Apply For An Acrod Sticker.
From 40visuals.com
How to Apply Adhesive Vinyl Decals 40 Visuals How Do You Apply For An Acrod Sticker Who is unable to walk and. Download the current application form. To be eligible for an. An acrod parking permit may be issued to an applicant: The cost of the permit is funded by the government of western australia. To apply for an acrod parking permit, individuals should visit their state. To apply for a permit download the application form. How Do You Apply For An Acrod Sticker.
From davida.davivienda.com
Printable Instructions For Applying Vinyl Decals Printable Word Searches How Do You Apply For An Acrod Sticker To apply for a permit download the application form which is available online or contact the acrod parking program on. To apply for an acrod parking permit, individuals should visit their state. acrod parking permits are free. the parking permit application form can be found online and completed application forms can be submitted via:. Who is unable to. How Do You Apply For An Acrod Sticker.
From museumqust.weebly.com
Apropriate ways to make a pass museumqust How Do You Apply For An Acrod Sticker The cost of the permit is funded by the government of western australia. To be eligible for an. the parking permit application form can be found online and completed application forms can be submitted via:. Download the current application form. applying for an acrod parking permit. acrod parking permits are free. • application form (mobility) in pdf. How Do You Apply For An Acrod Sticker.
From themommallama.com
Vinyl Decal Application Instructions [Free PDF] the momma llama How Do You Apply For An Acrod Sticker To apply for a permit download the application form which is available online or contact the acrod parking program on. An acrod parking permit may be issued to an applicant: To apply for an acrod parking permit, individuals should visit their state. Download the current application form. Who is unable to walk and. the parking permit application form can. How Do You Apply For An Acrod Sticker.
From blanker.org
Form VTR60. Application for Replacement License Plate and Vehicle How Do You Apply For An Acrod Sticker To apply for an acrod parking permit, individuals should visit their state. To be eligible for an. An acrod parking permit may be issued to an applicant: applying for an acrod parking permit. the parking permit application form can be found online and completed application forms can be submitted via:. Who is unable to walk and. Download the. How Do You Apply For An Acrod Sticker.
From www.pinterest.co.uk
How to apply vinyl decal Custom decals, Vinyl decals, Custom bottles How Do You Apply For An Acrod Sticker An acrod parking permit may be issued to an applicant: To apply for an acrod parking permit, individuals should visit their state. the parking permit application form can be found online and completed application forms can be submitted via:. Who is unable to walk and. To be eligible for an. The cost of the permit is funded by the. How Do You Apply For An Acrod Sticker.
From mammabearsays.com
HOW TO APPLY CRICUT VINYL Mamma Bear Says How Do You Apply For An Acrod Sticker Who is unable to walk and. • application form (mobility) in pdf format. To apply for an acrod parking permit, individuals should visit their state. To apply for a permit download the application form which is available online or contact the acrod parking program on. Download the current application form. applying for an acrod parking permit. The cost of. How Do You Apply For An Acrod Sticker.
From www.youtube.com
How to apply for a parking permit online YouTube How Do You Apply For An Acrod Sticker To be eligible for an. the parking permit application form can be found online and completed application forms can be submitted via:. Who is unable to walk and. acrod parking permits are free. The cost of the permit is funded by the government of western australia. To apply for an acrod parking permit, individuals should visit their state.. How Do You Apply For An Acrod Sticker.
From www.aftershockdecals.com
All About Vinyl Decal Installation and Instructions How Do You Apply For An Acrod Sticker applying for an acrod parking permit. • application form (mobility) in pdf format. An acrod parking permit may be issued to an applicant: To apply for a permit download the application form which is available online or contact the acrod parking program on. Download the current application form. Who is unable to walk and. The cost of the permit. How Do You Apply For An Acrod Sticker.